Shidong Hospital, University of Shanghai for Science and Technology, China / Shanghai University of Sport, China
* Corresponding author
Shidong Hospital, University of Shanghai for Science and Technology, China
Shidong Hospital, University of Shanghai for Science and Technology, China
Shidong Hospital, University of Shanghai for Science and Technology, China
Shidong Hospital, University of Shanghai for Science and Technology, China
Shidong Hospital, University of Shanghai for Science and Technology, China
Shidong Hospital, University of Shanghai for Science and Technology, China
Shanghai University of Sport, China
Shidong Hospital, University of Shanghai for Science and Technology, China

Article Main Content

This study investigated the effects of an exercise intervention and diet education on abnormal glucose fluctuations in elderly patients with type 2 diabetes mellitus. Elderly participants with type 2 diabetes mellitus were randomly divided into the conventional treatment, diet education, Tai Chi, and elastic band training groups in a 1:1:1:1 ratio. Patients in the conventional treatment group received antidiabetic drug treatment and maintained their original lifestyle and dietary habits. The diet education group received treatment for antidiabetic drugs and glycemic load-based food exchange portion method diet education for 12 weeks. The Tai Chi and elastic band training groups received antidiabetic drug treatment and exercise intervention three times per week for 12 weeks, 60 minutes per session. After 12 weeks of intervention, the time in range (TIR) in the Tai Chi group and elastic band training group was significantly increased compared with that at baseline (p < 0.05). Compared with baseline values, time above range (TAR), time below range (TBR), mean glucose (MG), estimated hemoglobin A1c (eHbA1c), standard deviation (SD), and coefficient of variation (CV) were significantly decreased in the Tai Chi and elastic band training groups (p < 0.05). Compared with the conventional treatment group, the TIR of the diet education group showed an upward trend, whereas the TAR and TBR of the diet education group showed a downward trend.

Introduction

Diabetes mellitus can cause cardiovascular, renal, retinal, and neurological complications, leading to premature death, which is a significant threat to the health and quality of life of patients (American Diabetes Association, 2011). According to the diagnostic criteria for diabetes issued by the World Health Organization in 2011, the survey results from 2018 to 2019 show that the prevalence of diabetes in people over 60 years of age is more than 20% (Chinese Diabetes Society, 2025). In the elderly diabetic population, the proportion of type 2 diabetes mellitus (T2DM) is as high as 95%, and T2DM has become the most critical type of diabetes in the elderly (Chinese Elderly Type 2 Diabetes Prevention & Treatment of Clinical Guidelines Writing Group, 2022). Thus, elderly patients with T2DM should be prioritized for diabetes management. Pancreatic β-cell dysfunction is the main pathophysiological feature of T2DM (American Diabetes Association, 2021). Relevant studies (Talchaiet al., 2012; Wanget al., 2020; Yinget al., 2020) have found that glucotoxicity, lipotoxicity, and inflammatory responses all cause damage to pancreatic islet function in patients with T2DM. Therefore, lowering blood glucose and lipid levels and reducing inflammatory responses are vital in protecting pancreatic β-cells and controlling the progression of diabetes mellitus.

Glucose fluctuation, also known as glucose variability, which refers to a dynamic and stable state of an individual’s blood glucose level changing between peaks and troughs, belongs to the standard mechanism of self-regulation of the body’s neuroendocrine system (Zhou & Jia, 2010), and is one of the most important indicators for evaluating glycemic control. Abnormal blood glucose fluctuations are observed in the diabetic population owing to impaired pancreatic β-cell function. Impaired pancreatic β-cell function in diabetic patients results in relatively insufficient insulin secretion and a reduced ability to regulate blood glucose, resulting in greater glucose fluctuation (Kohnertet al., 2009). Abnormal glucose fluctuation will, in turn, exacerbate the functional damage of pancreatic β-cells by triggering inflammatory responses and increasing oxidative stress (Pancreatic Islet β-cell Expert Panel of Chinese Diabetes Society & Endocrinology Society of Jiangsu Medical Association, 2022), forming a vicious closed loop in which abnormal blood glucose fluctuations and pancreatic β-cells interact with each other. Abnormal glucose fluctuation is a critical reason for the high prevalence of significant microvascular complications in patients (Leeet al., 2020; Valente & Arbex, 2021; Rodrigueset al., 2018; Gerbaudet al., 2019). Therefore, the international proposal of “fine glycemic control, smooth achievement of the standard” monitoring abnormal glucose fluctuation has been widely used in clinical practice. Continuous glucose monitoring (CGM) is the primary modality used to monitor blood glucose fluctuations using a subcutaneous glucose sensor that monitors continuous and comprehensive blood glucose information, such as mean glucose (MG) and standard deviation (SD), in real-time over time (Shiet al., 2022).

Time in range (TIR) is a novel metric for evaluating glucose fluctuations, and every 5% increase in TIR is associated with a significant clinical benefit for patients with T2DM (Battelinoet al., 2019). Beck et al. found a significant association between TIR and diabetic microangiopathy (Becket al., 2019). Mayeda et al. showed that decreased TIR significantly increased the risk of developing diabetic peripheral neuropathy (Mayedaet al., 2020). Jia et al. found that TIR levels were significantly and negatively associated with the risk of developing diabetic macrovascular lesions (Luet al., 2020). Thus, TIR is closely associated with the occurrence and development of diabetic complications, and improving the TIR is crucial for managing T2DM patients.

The glycemic load-based food exchange portion method compensates for the inadequacy of the traditional food exchange portion method, which does not adequately consider the effect of carbohydrates in food on blood glucose. Cao et al. found that the glycemic load-based food exchange portion method significantly reduced blood glucose levels in patients with T2DM (Caoet al., 2021).

Tai Chi is a traditional Chinese aerobic fitness technique, and as a relatively low-intensity, slow-paced aerobic exercise, it is suitable for the elderly. Wu et al. found that Tai Chi could significantly reduce fasting plasma glucose (FPG), hemoglobin A1c (HbA1c), and inflammatory factors in T2DM patients (Wuet al., 2010). Zhao et al. showed that Tai Chi could significantly reduce low-density lipoprotein cholesterol (LDL-C) and triglycerides (TG) in T2DM patients (Zhaoet al., 2017). Elastic band training is less risky and easier to practice than traditional resistance exercises (e.g., barbells and dumbbells). It is also a suitable resistance exercise for the elderly population. Park et al. found that elastic band training can significantly reduce FPG, HbA1c, and total cholesterol (TC) in T2DM patients (Parket al., 2016). Thus, Tai Chi and elastic band training could be effective exercise intervention programs for T2DM management.

Most studies have only explored the differences in blood glucose before and after exercise and diet intervention, with less exploration of glucose fluctuations before and after intervention, especially the differences in TIR, a new indicator of blood glucose monitoring. Therefore, this study explored whether exercise and diet education can effectively increase TIR, reduce various glucose fluctuation measures, and improve abnormal glucose fluctuation in elderly patients with T2DM.

Methods

Participants

Participants with T2DM were recruited from Shidong Hospital between March 2022 and April 2022. The inclusion criteria were as follows: met the diagnostic criteria for T2DM (Chinese Elderly Type 2 Diabetes Prevention & Treatment of Clinical Guidelines Writing Group, 2022); patients with T2DM; aged 60–80 years; normal cognitive and communication ability; no apparent injuries or physical illnesses; voluntary participation and signing of informed consent; living in the Yangpu area of Shanghai and having a fixed residence; can cooperate to accept a 12 weeks diet education; can cooperate with the exercise intervention training 3 times a week, 60 minutes each time, for 12 weeks; and not exercising regularly for the last 6 months.

Study Design

This study was a parallel randomized controlled trial. The participants were randomly assigned to a conventional treatment group (CTG), diet education group (DEG), Tai Chi group (TCG), and elastic band training group (EBG) in a 1:1:1:1 ratio by generating random numbers using SPSS software. Each measure was gauged within two weeks before and after the intervention. The study protocol was registered in the Chinese Trial Registry (ChiCTR2200057863) and approved by the Ethics Committee of Scientific Research of Shanghai University of Sport (Ethics batch number: 102772023RT021). All the study participants provided written informed consent.

Intervention Program

The CTG maintained its original lifestyle and dietary habits and received antidiabetic drug treatment for 12 weeks. DEG received antidiabetic drug treatment and glycemic load-based food exchange portion method diet education for 12 weeks. The TCG and EBG received antidiabetic drug treatment and exercise intervention three times per week for 12 weeks, 60 minutes per session (Tuesday, Thursday, and Saturday, 8:00 a.m. to 9:00 a.m.).

A 60-minute group dietary education session on the definition of glycemic load (GL), concept of food exchange portion, method of measuring the weight of food by standardized portion, and application of glycemic load-based food exchange portion in daily diet was conducted in the hospital in conjunction with the nutritionist of the Department of Endocrinology and Metabolism. A pamphlet on the food exchange portion method was distributed to the subjects for reference when organizing their daily diet. Three days a week (including one weekday and one weekend), the participants were instructed to take pictures of their meals via WeChat, including the names and weights of the food items. A three-day dietary record sheet was distributed to the participants to record their diets on punch card days. Each participant should record 36 single-day dietary punches. If the punch rate is less than 80 %, that is, the number of punches is less than 29 times and the dietary behavior does not conform to the intervention plan, the compliance is poor. Participants were asked to return the record sheet when they visited the hospital for regular follow-up appointments. The program of glycemic load based on food exchange portion methods diet education was included as follows: (1) calculated the participant’s standardized body weight (standardized body weight (kg) = height (cm) – 105); (2) determined somatotype based on the participant’s body mass index (BMI) (Underweight: BMI <18.5, normal weight: 18.5 ≤ BMI <24.0, overweight: 24.0 ≤ BMI <28.0, obesity: BMI ≥ 28.0), (3) calculated the participant’s total daily energy requirement according to their standardized body weight, somatotype, and physical exertion level (Appendix 1), (3) Calculated the daily required food exchange portions based on the participant’s total daily energy requirement. We referenced the food exchange portion table (Appendix 2) for different energy levels to determine the number of servings for each food category. The portions were allocated to three meals at ratios of 1/5, 2/5, and 2/5. Referring to the GL value table (Appendix 3) when selecting foods, medium-to-low GL (GL < 20) options were within the same food category as much as possible.

Twenty-four types of Yang’s simplified Tai Chi were included as follows: (1) Commencing form, (2) Part the Wild Horse’s Mane-Left and Right, (3) White Crane Spreads its Wings, (4) Brush Knee and Push-Left and Right, (5) Strum the Pipa, (6) Step Back and Repulse the Monkey-Left and Right, (7) Grasp the Bird’s Tail-Left, (8) Grasp the Bird’s Tail-Right, (9) Single Whip, (10) Wave Hands Like Clouds, (11) Single Whip, (12) High Pat on Horse, (13) Kick with Right Heel, (14) Strike Ears with Both Fists, (15) Turn and Kick with Left Heel, (16) Push Down and Stand on One Leg-Left, (17) Push Down and Stand on One Leg-Right, (18) Fair Lady Works the Shuttles-Left and Right, (19) Needle at Sea Bottom, (20) Deflect with Arm, (21) Turn, Block, and Punch, (22) Withdraw and Push, (23) Cross Hands, (24) Closing Form.

Fourteen types of elastic band training were included as follows: (1) Open Chest with Arms Extended, (2) Left Lunge Position with Bicep Curl, (3) Right Lunge Position with Bicep Curl, (4) Standing Calf Raise,(5) Standing Left Side Extension, (6) Standing Right Side Extension, (7) Band-Resisted Squat, (8) Full-Body Progressive Resistance Squat, (9) Standing Left Hip Abduction, (10) Standing Left Hip Flexor Swing, (11) Standing Left Hip Glute Kickback, (12) Standing Right Hip Abduction, (13) standing right hip flexion, and (14) Standing Right Hip Glute Kickback. Males use 35 pounds elastic band (brand: Li-Ning, size: 150 cm × 15 cm × 0.05 cm), Females use 25 pounds elastic band (brand: Li-Ning, size: 150 cm × 15 cm × 0.04 cm).

Certified fitness professionals and medical personnel supervised the exercise sessions to ensure training efficacy and safety. Participants used the Healthkey K3 - 1 smart wrist band (Manufacturer: Gezhi Health Management Company) to monitor the heart rate during exercise within the range of the target heart rate (THR). The participants’ individualized THR zones were evaluated using our research group’s self-developed Exercise Risk and Capacity Assessment System 2.0 (Registration number: 2024SR0899672). If the heart rate falls below or exceeds the target zone, the squat depth or resistance band grip width may be adjusted appropriately.

Statistical Analysis

Statistical analysis was performed using the SPSS software (version 26.0). Normally distributed continuous data with homogeneity of variance are expressed as mean ± standard deviation (95% confidence interval). Categorical data were compared using the chi-squared test. Paired t-tests were used to assess within-group differences before and after the intervention, while one-way ANOVA was employed for between-group comparisons, with LSD post hoc tests for multiple comparisons. Statistical significance was set at P < 0.05.

Results

Basic Characteristics

The flow chart of participants was shown in Fig. 1. Based on the inclusion and exclusion criteria, 131 elderly patients with T2DM were recruited from the Endocrinology and Metabolism Inpatient Department at Shidong Hospital between March 2022 and April 2022. After excluding 39 patients who declined to participate, 92 eligible participants agreed to enroll and signed written informed consent forms. Three participants in the CTG dropped out of the study because of individual health problems (n = 2) or loss of contact (n = 1). Four participants in the DEG dropped out of the study because of loss of contact. Three participants in the TCG dropped out of the study because of scheduling conflicts (n = 2) or extended absence (n = 1). Four participants in the EBG dropped out of the study because of scheduling conflicts (n = 2) or extended absence (n = 2). Finally, 79 participants (48 women and 31 men) completed the 12-week trial (14% shedding rate) and were included in the study analysis. Prior to the start of the intervention, there were no statistically significant differences among the four groups in terms of age, height, weight, BMI, SBP, DBP, RHR, or course of diabetes (Table I). During the 12-week exercise intervention, no exercise-related adverse events occurred, apart from normal muscle soreness.

Fig. 1. Participants flow chart.

Variable Conventional treatment (n = 20) Diet education (n = 19) Tai Chi (n = 20) Elastic band training (n = 19) χ2-Value & F-value p-Value
Gender (female/male) 13/7 12/7 12/8 11/8 0.249a 0.969
Age (year) 67.05 ± 4.12 (65.12–68.98) 67.84 ± 5.22 (65.33–70.36) 69.95 ± 4.90 (67.65–72.25) 66.84 ± 4.72 (64.57–69.12) 1.767 0.161
Height (cm) 164.25 ± 5.92 (161.58–167.02) 163.42 ± 8.04 (159.54–167.30) 164.00 ± 9.59 (159.51–168.49) 162.74 ± 7.09 (159.32–166.16) 0.145 0.932
Weight (kg) 67.54 ± 10.72 (62.52–72.55) 66.85 ± 11.89 (61.12–72.58) 66.51 ± 13.74 (60.08–72.94) 62.84 ± 9.43 (58.30–67.39) 0.635 0.595
BMI (kg/m²) 24.94 ± 3.07 (23.51–26.38) 25.43 ± 3.61 (23.69–27.17) 24.70 ± 3.89 (22.88–26.52) 23.88 ± 3.60 (22.15–25.61) 0.632 0.597
SBP (mmHg) 139.90 ± 21.41 (129.88–149.92) 132.63 ± 17.90 (124.00–141.26) 145.10 ± 16.93 (137.18–153.02) 137.58 ± 14.95 (130.38–144.78) 1.616 0.193
DBP (mmHg) 76.45 ± 14.68 (69.58–83.32) 74.21 ± 9.02 (69.87–78.56) 79.55 ± 9.23 (75.23–83.87) 79.95 ± 10.70 (74.79–85.10) 1.136 0.340
RHR (time/minutes) 82.25 ± 9.35 (77.87–86.63) 83.89 ± 6.43 (80.80–86.99) 81.30 ± 7.96 (77.57–85.03) 82.68 ± 10.29 (77.73–87.64) 0.303 0.823
Course (year) 11.20 ± 6.99 (7.93–14.47) 12.63 ± 7.96 (8.80–16.47) 8.55 ± 5.78 (5.84–11.26) 10.16 ± 7.67 (6.46–13.85) 1.136 0.340
Table I. Baseline Characteristics of the Participants

Glucose Fluctuation Results

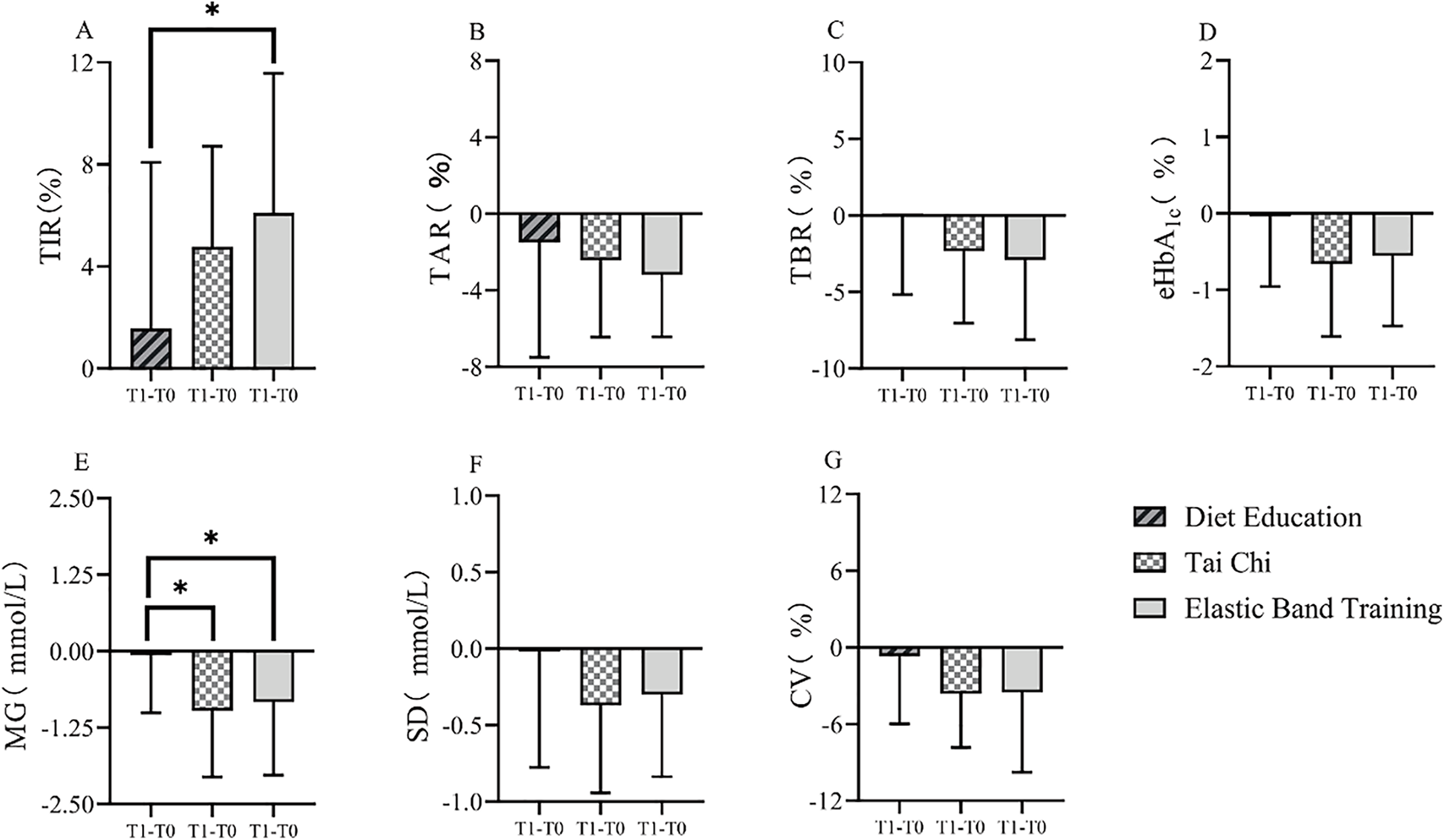
After 12 weeks of intervention, the TIR of both the TCG and EBG showed an upward trend, in which the TIR of the TCG was significantly different from that at baseline (p < 0.05) (Tables II and III). The TIR of the EBG was significantly different from that at baseline (p < 0.001) (Tables II and III). The TIR of the CTG declined, but none of the differences were statistically significant. The TIR of the DEG showed an increasing trend from the pre-intervention period, although the difference was not statistically significant. In addition, the TAR, TBR, eHbA1c, MG, SD, and CV of TCG and EBG showed a significant downward trend (p < 0.05) (Tables II and III). There was no significant difference between the above six measures of glucose fluctuation before and after the intervention with the DTG and DEG. The difference between TIR and baseline in the EBG after the intervention was significantly different from that of the DEG (p < 0.05) (Fig. 2). The difference between the postintervention MG and baseline in the TCG and EBG was significantly different from that in the DEG (p < 0.05) (Fig. 2).

TIR (%) TAR (%) TBR (%)
Conventional treatment (n = 20)
Baseline 81.37 ± 6.24 (78.37–84.38) 12.03 ± 5.33 (9.46–14.60) 6.60 ± 3.66 (4.84–8.36)
12 weeks 80.98 ± 5.49 (78.33–83.62) 12.21 ± 3.61 (10.46–13.95) 6.82 ± 3.59 (5.09–8.54)
Differences −0.39 ± 7.85 (−4.18 to 3.39) 0.18 ± 4.53 (−2.01 to 2.36) 0.22 ± 5.45 (−2.41 to 2.84)
t-value 0.219 −0.172 −0.173
P-value 0.829 0.865 0.865
Diet education (n = 19)
Baseline 81.14 ± 6.47 (77.92–84.36) 12.48 ± 5.89 (9.55–15.41) 6.38 ± 3.92 (4.43–8.33)
12 weeks 82.70 ± 4.55 (80.44–84.96) 10.98 ± 4.75 (8.62–13.35) 6.32 ± 2.57 (5.04–7.59)
Differences 1.56 ± 6.52 (−1.68 to 4.80) −1.50 ± 6.01 (−4.48 to 1.49) −0.06 ± 5.10 (−2.6 to 2.47)
t-value −1.016 1.055 0.055
P-value 0.324 0.306 0.956
Tai Chi (n = 20)
Baseline 82.46 ± 4.40 (80.27–84.65) 10.81 ± 3.83 (8.90–12.71) 6.74 ± 3.67 (4.91–8.57)
12 weeks 87.23 ± 3.27 (85.61–88.86) 8.38 ± 3.14 (6.82–9.94) 4.39 ± 2.02 (3.39–5.39)
Differences 4.77 ± 6.62 (2.82–6.73) −2.43 ± 4.01 (−4.42 to −0.43) −2.35 ± 4.70 (−4.69 to −0.01)
t-value −5.151 2.566 2.123
P-value 0.007 0.020 0.049
Elastic band training (n=19)
Baseline 82.33 ± 5.44 (79.62–85.04) 11.38 ± 3.60 (9.60–13.17) 6.29 ± 4.55 (4.03–8.55)
12 weeks 88.43 ± 3.74 (86.57–90.29) 8.18 ± 2.24 (7.07−9.30) 3.38 ± 2.77 (2.00–4.76)
Differences 6.10 ± 5.47 (3.39–8.82) −3.20 ± 3.23 (−4.80 to −1.60) −2.91 ± 5.21 (−5.50 to −0.31)
t-value −4.737 4.207 2.364
P-value <0.001 0.001 0.030
Table II. Results of Glucose Fluctuation Measures in 4 Groups Before and After Intervention
eHbA1c (%) MG (mmol/L) SD (mmol/L) CV (%)
Conventional treatment (n = 20)
Baseline 6.91 ± 1.37 (6.25–7.57) 7.69 ± 1.64 (6.91–8.48) 2.30 ± 0.77 (1.93–2.67) 29.41 ± 5.23 (26.89–31.93)
12 weeks 6.84 ± 0.95 (6.38–7.29) 7.44 ± 1.24 (6.85–8.04) 2.39 ± 0.74 (2.03–2.75) 29.29 ± 6.05 (26.37–32.20)
Differences −0.07 ± 1.42 (−0.76 to 0.61) −0.25 ± 1.59 (−1.02 to 0.51) 0.09 ± 0.89 (−0.34 to 0.51) −0.12 ± 6.90 (−3.44 to 3.21)
t-value 0.227 0.688 −0.435 0.074
P-value 0.823 0.500 0.669 0.941
Diet education (n = 19)
Baseline 6.82 ± 0.88 (6.38–7.26) 7.53 ± 1.05 (7.00–8.05) 2.38 ± 0.51 (2.13–2.63) 30.12 ± 4.24 (28.01–30.63)
12 weeks 6.78 ± 0.58 (6.49–7.07) 7.46 ± 0.73 (7.10–7.82) 2.36 ± 0.54 (2.09–2.63) 29.43 ± 4.67 (27.11–31.75)
Differences −0.04 ± 0.91 (−0.49 to 0.41) −0.07 ± 0.94 (−0.53 to 0.40) −0.02 ± 0.76 (−0.40 to 0.36) −0.69 ± 5.29 (−3.32 to 1.94)
t-value 0.188 0.301 0.112 0.550
P-value 0.853 0.767 0.912 0.589
Tai Chi (n = 20)
Baseline 6.95 ± 1.32 (6.30–7.61) 7.74 ± 1.58 (6.95–8.53) 2.34 ± 0.74 (1.97–2.71) 29.65 ± 5.21 (27.06–32.24)
12 weeks 6.29 ± 0.74 (5.93–6.66) 6.77 ± 0.89 (6.33–7.21) 1.97 ± 0.53 (1.70–2.23) 26.02 ± 4.13 (23.97−28.08)
Differences −0.66 ± 0.95 (−1.13 to −0.19) −0.97 ± 1.08 (−1.51 to −0.43) −0.37 ± 0.57 (−0.66 to −0.09) −3.63 ± 4.21 (−5.73 to −1.53)
t-value 2.963 3.807 2.765 3.665
P-value 0.009 0.001 0.013 0.002
Elastic band Training (n = 19)
Baseline 6.81 ± 0.90 (6.36–7.26) 7.38 ± 1.24 (6.76–7.99) 2.12 ± 0.58 (1.83–2.41) 28.57 ± 5.89 (25.64–31.49)
12 weeks 6.25 ± 0.54 (5.98–6.52) 6.55 ± 0.78 (6.16–6.93) 1.81 ± 0.48 (1.58–2.05) 25.05 ± 4.17 (22.97–27.12)
Differences −0.56 ± 0.92 (−1.01 to −0.10) −0.83 ± 1.19 (−1.42 to −0.24) −0.31 ± 0.54 (−0.57 to −0.04) −3.52 ± 6.26 (−6.63 to −0.04)
t-value 2.569 2.950 2.391 2.384
P-value 0.020 0.009 0.029 0.029
Table III. Results of Glucose Fluctuation Measures in 4 Groups Before and After Intervention

Fig. 2. Group comparison of differences between 12 weeks and baseline in diet education group. Note: Tai Chi group and elastic band training group on glucose baseline. TIR (A), TBR (B), TAR(C), eHbA1c (D), MG (E), SD (F), CV (G). T0 and T1 represent baseline and 12 weeks respectively. *represents p <0.05.

Before the intervention, none of the glucose fluctuation measures in the CTG, DEG, TCG, and EBG showed statistically significant differences between the groups. Post hoc comparisons by LSD revealed that the TIR levels in the TCG and EBG were significantly higher than those in the CTG and DEG after the intervention (p < 0.05) (Fig. 3A). In terms of reducing the levels of TAR, TBR, eHbA1c, MG, SD, and CV, intervention effects of TCG and EBG were significantly better than those of CTG and DEG (p < 0.05) (Fig. 3BG). The intergroup differences between TCG and EBG were not statistically significant in the post-intervention measures of glucose fluctuation.

Fig. 3. Group comparison of glucose fluctuation measures after intervention. Note: There are significant differences between groups with different marked lowercase letters (p<0.05). TIR (A), TBR (B), TAR(C), eHbA1c (D), MG (E), SD (F), CV (G).

Blood Glucose Results

The FPG and HbA1c of the TCG and EBG decreased significantly (p < 0.05) (Table IV), and the GA of the two groups decreased slightly, but the difference was not statistically significant. All blood glucose measurements in the CTG and EBG decreased to different degrees, but the differences within the groups before and after the intervention were not statistically significant.

FPG (mmol/L) HbA1c (%) GA (%)
Conventional treatment (n = 20)
Baseline 7.21 ± 1.25 (6.63–7.80) 7.10 ± 0.48 (6.87–7.32) 22.16 ± 6.98 (18.90–25.43)
12 weeks 7.04 ± 1.06 (6.54–7.53) 6.99 ± 0.38 (6.81–7.16) 20.91 ± 7.32 (17.48–24.34)
Differences −0.17 ± 1.39 (−0.83 to 0.47) −0.11 ± 0.65 (−0.41 to 0.19) −1.25 ± 6.23 (−4.17 to 1.66)
t-value 0.568 0.761 0.899
p-value 0.577 0.456 0.380
Diet education (n = 19)
Baseline 7.13 ± 0.88 (6.71–7.56) 7.29 ± 0.81 (6.90–7.68) 21.23 ± 4.19 (19.21–23.25)
12 weeks 6.92 ± 0.77 (6.56–7.30) 7.08 ± 0.61 (6.79–7.37) 19.33 ± 4.78 (17.03–21.64)
Differences −0.21 ± 0.96 (−0.67 to 0.25) −0.21 ± 0.98 (−0.68 to 0.26) −1.90 ± 5.56 (−4.58 to 0.78)
t-value 0.956 0.940 1.489
p-value 0.352 0.360 0.154
Tai Chi (n = 20)
Baseline 7.20 ± 0.88 (6.78–7.61) 7.11 ± 0.64 (6.81–7.40) 22.82 ± 5.82 (20.10–25.55)
12 weeks 6.28 ± 1.12 (5.75–6.80) 6.64 ± 0.67 (6.33–6.95) 20.98 ± 5.27 (18.51–23.44)
Differences −0.92 ± 1.51 (−1.62 to −0.21) −0.47 ± 0.79 (−0.83 to −0.10) −1.84 ± 4.98 (−4.17 to 0.48)
t-value 2.729 2.643 1.658
P-value 0.013 0.016 0.114
Elastic band training (n = 19)
Baseline 7.14 ± 1.09 (6.62–7.67) 7.02 ± 0.52 (6.77–7.27) 21.78 ± 6.01 (18.88–24.68)
12 weeks 6.27 ± 0.88 (5.85–6.69) 6.60 ± 0.49 (6.37–6.84) 20.14 ± 5.41 (17.53–22.75)
Differences −0.87 ± 1.50 (−1.59 to −0.15) −0.42 ± 0.72 (−0.77 to −0.07) −1.64 ± 7.87 (−5.43 to 2.15)
t-value 2.523 2.546 0.909
P-value 0.021 0.020 0.376
Table IV. Results of Blood Glucose Measures in 4 Groups Before and After Intervention

There were no statistically significant differences in FPG, HbA1c, or GA levels between the groups before the intervention. The results of the cross-sectional comparative analysis showed that after three months of intervention, the effect of Tai Chi and elastic band training in reducing FPG and HbA1c levels in patients with T2DM was significantly better than that of the conventional treatment group and the dietary education group (p < 0.05) (Fig. 4A,B). After the intervention, between-group differences in GA were not statistically significant.

Fig. 4. Group comparison of blood glucose measures after intervention. Note: There are significant differences between groups with different marked lowercase letters (p<0.05). FPG (A), HbA1c (B), GA (C).

Blood Lipids Results

The TC, TG, and LDL-C levels in the TCG and EBG showed a significant downward trend after intervention (ğ < 0.05) (Table V). There was no statistically significant difference between the TC, TG, and LDL-C levels in the CTG and DEG before and after the intervention. HDL-C levels of participants in all groups showed different degrees of upward trend.

TC TG LDL-C HDL-C
Conventional treatment (n = 20)
Baseline 5.52 ± 0.71 (5.18–5.85) 2.28 ± 0.73 (1.94–2.63) 3.32 ± 0.75 (2.97–3.68) 1.15 ± 0.29 (1.01–1.29)
12 weeks 5.57 ± 0.88 (5.16–5.98) 2.24 ± 0.67 (1.93–2.56) 3.28 ± 0.75 (2.93–3.63) 1.19 ± 0.20 (1.09–1.28)
Differences 0.05 ± 0.82 (−0.33 to 0.44) −0.04 ± 0.95 (−0.48 to 0.41) −0.04 ± 1.08 (−0.55 to 0.46) 0.04 ± 0.31 (−0.11 to 0.18)
t-value −0.294 0.183 0.172 −0.492
p-value 0.772 0.856 0.865 0.628
Diet Education (n = 19)
Baseline 5.54 ± 0.68 (5.21–5.87) 2.25 ± 0.57 (1.97–2.52) 3.25 ± 0.55 (2.98–-3.51) 1.18 ± 0.22 (1.07–1.28)
12 weeks 5.41 ± 0.53 (5.16–5.66) 2.19 ± 0.76 (1.83–2.56) 3.21 ± 0.52 (2.95–3.46) 1.26 ± 0.31 (1.12–1.41)
Differences −0.13 ± 0.96 (−0.59 to 0.33) −0.06 ± 1.02 (−0.55 to 0.44) −0.04 ± 0.77 (−0.41 to 0.33) 0.08 ± 0.30 (−0.04 to 0.21)
t-value 0.583 0.236 0.231 −1.385
P-value 0.567 0.816 0.820 0.183
Tai Chi (n = 20)
Baseline 5.43 ± 0.89 (5.01–5.85) 2.21 ± 0.67 (1.89–2.52) 3.18 ± 0.78 (2.82–3.55) 1.12 ± 0.25 (1.01–1.24)
12 weeks 4.92 ± 0.71 (4.59–5.25) 1.77 ± 0.50 (1.54–2.00) 2.75 ± 0.79 (2.38–3.12) 1.21 ± 0.26 (1.09–1.33)
Differences −0.51 ± 1.04 (−1.00 to −0.02) −0.44 ± 0.86 (−0.84 to −0.03) −0.43 ± 0.93 (−0.87 to −0.01) 0.09 ± 0.30 (−0.05 to 0.22)
t-value 2.188 2.257 2.103 −1.291
P-value 0.041 0.036 0.049 0.212
Elastic band training (n = 19)
Baseline 5.35 ± 0.79 (4.97–5.73) 2.19 ± 0.70 (1.85–2.52) 3.12 ± 0.78 (2.74–3.49) 1.21 ± 0.25 (1.09–1.33)
12 weeks 4.89 ± 0.81 (4.50–5.29) 1.74 ± 0.51 (1.49–1.99) 2.73 ± 0.74 (2.37–3.08) 1.30 ± 0.24 (1.18–1.41)
Differences −0.46 ± 0.90 (−0.89 to −0.02) −0.45 ± 0.80 (−0.83 to −0.06) −0.39 ± 0.68 (−0.72 to −0.06) 0.09 ± 0.30 (−0.06 to 0.23)
t-value 2.192 2.416 2.499 −1.184
P-value 0.042 0.027 0.022 0.252
Table V. Results of Blood Lipid Measures in 4 Groups Before and After Intervention (mmol/L)

There were no significant differences in TC, TG, LDL-C, and HDL-C levels between the groups before the intervention (p >0.05). LSD post-hoc comparison showed that the 12-week Tai Chi and elastic band training intervention to reduce TC, TG, and LDL-C levels in patients with T2DM was significantly better than diet education and antidiabetic drug treatment alone (p < 0.05) (Fig. 5AC). There were no statistically significant between-group differences in HDL-C levels among the four groups after the intervention.

Fig. 5. Group comparison of blood lipid measures after intervention. Note: There are significant differences between groups with different marked lowercase letters (p<0.05). TC (A), TG (B), LDL-C (C), HDL-C (D).

Inflammatory Factors Results

After intervention, the levels of IL-6 and TNF-α in the TCG and EBG decreased to different degrees, and the differences within the groups were statistically significant (p < 0.05) (Table VI). There were no significant differences in the levels of IL-6 and TNF-α in the CTG and DEG after the intervention compared with those at baseline. The post-intervention levels of IL-1β and hs-CRP were not statistically different between the participants in each group compared with those at baseline.

IL-1β IL-6 TNF-α hs-CRP
Conventional treatment (n = 20)
Baseline 7.67 ± 4.31 (5.66–9.69) 6.85 ± 4.03 (4.97–8.73) 2.43 ± 1.17 (1.88–2.98) 3.69 ± 1.33 (3.07–4.31)
12 weeks 7.22 ± 3.27 (5.69–8.75) 6.29 ± 2.82 (4.97–7.61) 2.24 ± 0.95 (1.79–2.69) 3.30 ± 0.97 (2.84–3.75)
Differences −0.45 ± 4.46 (−2.54 to 1.63) −0.56 ± 5.44 (−3.10 to 1.99) −0.19 ± 1.26 (−0.78 to 0.40) −0.39 ± 1.35 (−1.03 to 0.24)
t-value 0.453 0.459 0.680 1.304
p-value 0.656 0.651 0.505 0.208
Diet education (n = 19)
Baseline 7.44 ± 3.09 (5.95–8.93) 6.83 ± 3.63 (5.08–8.58) 2.48 ± 0.64 (2.17–2.79) 3.52 ± 1.32 (2.89–4.16)
12 weeks 6.12 ± 2.82 (4.75–7.48) 6.16 ± 2.72 (4.85–7.47) 2.23 ± 0.60 (1.94–2.52) 3.02 ± 1.26 (2.41–3.62)
Differences −1.32 ± 4.66 (−3.57 to 0.92) −0.67 ± 3.89 (−2.55 to 1.20) −0.25 ± 0.69 (−0.58 to 0.08) −0.50 ± 1.85 (−1.40 to 0.39)
t-value 1.238 0.758 1.586 1.194
p-value 0.232 0.458 0.130 0.248
Tai Chi (n = 20)
Baseline 7.00 ± 4.54 (4.88–9.13) 6.76 ± 3.35 (5.20–8.33) 2.36 ± 0.87 (1.95–2.77) 3.38 ± 1.34 (2.76–4.01)
12 weeks 5.85 ± 2.97 (4.47–7.24) 4.53 ± 2.15 (3.52–5.54) 1.90 ± 0.63 (1.61–2.20) 2.78 ± 1.05 (2.29–3.28)
Differences −1.15 ± 6.54 (−4.21 to 1.91) −2.23 ± 4.68 (−4.43 to −0.04) −0.46 ± 0.91 (−0.88 to −0.03) −0.60 ± 1.75 (−1.42 to 0.22)
t-value 0.786 2.134 2.238 1.524
p-value 0.442 0.046 0.037 0.144
Elastic band training (n = 19)
Baseline 7.33 ± 4.20 (5.30–9.35) 6.72 ± 3.60 (4.98–8.45) 2.33 ± 0.95 (1.87–2.79) 3.59 ± 1.25 (2.98–4.19)
12 weeks 6.03 ± 3.02 (4.58–7.49) 4.49 ± 2.17 (3.45–5.54) 1.76 ± 0.64 (1.45–2.07) 2.96 ± 1.02 (2.47–3.45)
Differences −1.30 ± 5.69 (−4.04 to 1.45) −2.23 ± 4.06 (−4.19 to −0.27) −0.57 ± 1.15 (−1.12 to −0.01) −0.63 ± 2.00 (−1.59 to 0.34)
t-value 0.990 2.388 2.152 1.360
p-value 0.335 0.028 0.045 0.191
Table VI. Results of Inflammatory Factors Measures in 4 Groups Before and After Intervention (pg/mL)

There was no statistically significant difference between the four inflammatory measures of IL-1β, IL-6, TNF-α, and hs-CRP among the participants in each group before the intervention. By cross-sectional comparative analysis, after intervention, the IL-6 levels in TCG and EBG were significantly lower than those in CTG and DEG (p < 0.05) (Fig. 6B). There were no statistically significant intergroup differences in the remaining three inflammatory measures among the participants in each group after the intervention.

Fig. 6. Group comparison of inflammatory factors measures after intervention. Note: There are significant differences between groups with different marked lowercase letters (p<0.05). IL-1β (A), IL-6 (B), TNF-α (C), hs-CRP (D).

Discussion

This study investigated the effects of Tai Chi, elastic band training, and glycemic load-based food exchange portion method diet education on abnormal glucose fluctuations in elderly patients with T2DM. First, 12 weeks of Tai Chi and elastic band training significantly increased TIR and decreased TAR, TBR, eHbA1c, MG, SD, and CV in elderly T2DM patients. Second, after 12 weeks of exercise intervention, FPG, HbA1c, TC, TG, LDL-C, IL-6, and TNF-α levels were significantly decreased in the TCG and EBG. Third, although there was no significant difference between the indicators in the DEG before and after intervention, the magnitude of the TIR increase and the magnitude of the decrease in the remaining six glucose fluctuation measures were greater than those in the CTG. The reductions in FPG, HbA1c, TC, TG, IL-6, and TNF-α in the DEG were also greater than those in the CTG.

Abnormal Glucose Fluctuation

Relevant studies have found that exercise can significantly reduce SD and CV and correct abnormal glucose fluctuation in T2DM patients (Liuet al., 2024). This study found that the increase in TIR from baseline was 4.77% in TCG and 6.10% in EBG. Furthermore, TAR and TBR were significantly decreased in the TCG and EBG. These findings were similar to those of a previous study that showed that aerobic exercise seven times a week for 2 weeks can increase TIR and decrease TAR in T2DM patients (Chenet al., 2024). The TAR and TBR decreased slightly in the DEG group after intervention. However, the difference was not statistically significant, suggesting that dietary education has a potential role in reducing the risk of a high hypoglycemic crisis in patients.

MG, SD, and CV evaluate the degree of dispersion of all blood glucose measurements during the period in which the patient wears the CGM, which is routinely used to measure glucose fluctuations. This study found that participants who received a 12-week exercise intervention had significant reductions in MG, SD, and CV, and post-intervention levels were significantly different from those in the CTG. There were no significant differences in the MG, SD, and CV before and after the intervention in the CTG. These findings are similar to those of a previous study showing that exercise three times a week can decrease SD and CV (Liuet al., 2024). Kaur et al. (Kauret al., 2015) conducted four sessions of offline education on a low-glycemic index diet while providing a standardized diet and instructing participants to consume it centrally on-site to explore the effect of dietary control on glucose fluctuation. Our results showed that dietary control effectively reduced the magnitude of glucose fluctuations. There were no significant changes in the levels of MG, SD, and CV in the DEG before and after the study, which is not in line with the findings of Kaur et al. We hypothesized that this may be related to the fact that the present study had a low number of offline group dietary education sessions for the participants due to human and financial constraints.

eHbA1c was calculated using a standard formula based on the mean glucose measurements recorded by CGM over 10 to 14 days, and its measurements were similar to those of laboratory-measured HbA1c, which, to a certain extent, can assist in evaluating blood glucose control (Hu & Ye, 2021). This study found that the eHbA1c levels of the TCG and EBG were significantly lower after intervention, and there was no statistically significant difference within the groups before and after intervention in the CTG and DEG eHbA1c. Thus, Tai Chi and elastic band training can effectively improve abnormal glucose fluctuations in elderly patients with T2DM, and the effects of the two exercise modalities are similar. The improvement effect of dietary education on glucose fluctuation measures in this study was not as significant as that of exercise intervention. Nevertheless, it showed the advantage of reducing abnormal glucose fluctuations in patients compared with CTG, which may need to be explored in future studies with larger sample sizes and longer intervention times.

Abnormal Blood Glucose

Correction of the hyperglycemic state has positive significance in preventing or delaying the development of diabetes mellitus complications. This study found that, compared with CTG, the decreasing trend of FPG and HbA1c was more significant in TCG and EBG participants who received a 12-week exercise intervention. The mean value of FPG in TCG decreased by 0.92 mmol/L, and the mean value of HbA1c decreased by 0.47%. These results are consistent with those reported by Shen et al. (Wuet al., 2010; Shenet al., 2019). The mean values of FPG and HbA1c in the EBG decreased by 0.87 mmol/L and 0.42%, respectively. These results are consistent with those of Park et al. (Parket al., 2016). FPG and HbA1c levels in the DEG decreased by 0.21 mmol/L and 0.21% after intervention, respectively, and the differences were not statistically significant. These results were inconsistent with a previous study showing that the glycemic load-based food exchange portion method for 3 months decreased blood glucose levels in patients with T2DM (Caoet al., 2021). This may be related to the small sample size and validity of the DEG in this study, which may show a more pronounced hypoglycemic effect if the sample size is enlarged.

GA is a product of serum albumin binding to glucose and reflects short-term blood glucose levels approximately 14–21 days prior to the test. This study found that GA levels decreased slightly in the DEG after intervention. However, the difference between the groups was not significant; the decrease was higher than that in the CTG, suggesting that dietary education combined with pharmacological interventions has certain advantages over pure hypoglycemic drug interventions in lowering the patients’ short-term blood glucose levels. Although there was a different degree of decrease in GA between participants in the TCG and EBG after intervention, there was no statistically significant difference between the groups, nor was there a statistically significant difference compared with those at baseline, which is inconsistent with the study of Nojima et al. (Nojimaet al., 2017). The possible reasons for this are as follows: 1) The mean age of the participants in the two exercise intervention groups in this study was 68 years, which is older than the participants in the Nojima et al. study (age = 57 years). GA has a positive correlation with the patient’s age, and with age, albumin metabolism slows down, making GA high, resulting in no significant effect of exercise on lowering GA. 2) Compared to the Nojima et al. study (exercise intervention duration = 24 weeks), the total exercise intervention duration in the present study was shorter and insufficient to cause GA to show a significant trend toward lowering. However, another related study showed that GA is less affected by exercise (Tang & Chen, 2013), which is contrary to the findings of Nojima et al. Thus, the effect of exercise on GA is inconclusive and should be explored in future studies. In conclusion, 12 weeks of Tai Chi and elastic band training improved hyperglycemia in elderly T2DM patients.

Blood Lipids

The prevalence of dyslipidemia was significantly higher in the diabetic population than in the non-diabetic population, and dyslipidemia in diabetic patients was mainly characterized by increased fasting and postprandial levels of TC, TG, and LDL-C, as well as reduced HDL-C levels (Endocrinology & Metabolism Physician Branch of Chinese Medical Doctor Association, National Society of Cardiometabolic Medicine, 2024). This study found that Tai Chi and elastic band training significantly decreased TC, TG, and LDL-C levels in elderly T2DM patients. These results were consistent with those of a previous study by Zhang et al. (Parket al., 2016; Zhanget al., 2023). This study found that both TCG and EBG showed an upward trend in HDL-C levels after intervention, but this was not statistically significant, which is consistent with the findings of Zhao et al. (Zhaoet al., 2017). However, another study showed that exercise can significantly increase HDL-C levels in T2DM (Zhouet al., 2022). Obviously, no unified conclusion has been reached in terms of the increase in HDL-C by exercise, and the effect and mechanism of exercise on HDL-C in diabetic patients still need to be further explored.

The differences in TC, TG, LDL-C, and HDL-C before and after intervention in the DEG were not statistically significant, which is inconsistent with the findings of Cao et al. (Caoet al., 2021). A possible reason for this is that, limited to the financial and human resources of this study, only one in-hospital centralized dietary education lecture was conducted before participants were discharged from the hospital, which may have caused cognitive biases and deficiencies in the application of the glycemic-load-based food exchange portion method on daily dietary management in participants, and this affected the effect of dietary education in lowering blood lipid levels in patients with T2DM to a certain extent.

In summary, 12 weeks of Tai Chi and elastic band training can effectively reduce blood lipids and improve dyslipidemia in T2DM patients, which, to some extent, elucidates that these two exercise modalities can improve abnormal glucose fluctuation by correcting lipid metabolism disorders, reducing lipotoxicity, and protecting pancreatic islet β-cell function.

Inflammatory Factors

It is believed that T2DM is not only a chronic metabolic disease, but also a chronic inflammatory disease, where the body has been in a state of chronic inflammation for a long time, and inflammatory factors are involved in the impairment of pancreatic islet β-cell function (Liuet al., 2020). Exercise inhibits the inflammatory response in diabetes mellitus, mainly by reducing the production of pro-inflammatory factors, such as IL-6 and TNF-α, and reducing oxidative stress (Sibonyet al., 2024). Roager et al. (Roageret al., 2019) demonstrated that dietary control reduced the levels of IL-1β, IL-6, CRP, and TNF-α in participants and attenuated the inflammatory response of the body.

This study found that Tai Chi and elastic band training for 12 weeks effectively reduced IL-6 and TNF-α levels in elderly patients with T2DM. These results are consistent with previous studies by You et al. (Youet al., 2020) and Dadrass et al. (Dadrasset al., 2019). However, there was no significant change in hS-CRP levels before and after the intervention in the TCG and EBG. This finding was inconsistent with that of a previous study by Wu et al. (Wuet al., 2010). A possible reason for this is that the total exercise duration in this study was short and did not reach the exercise dose, which resulted in a significant reduction in hs-CRP levels. No significant difference in IL-1β was observed between the TCG and EBG before and after intervention, which may be related to the lower baseline levels of IL-1β in participants, and the exercise intervention could not effectively affect this inflammatory marker.

The results of the data analysis in this study showed that there was no statistically significant difference between the groups before and after the intervention for the four inflammatory factors in DEG, which was inconsistent with a previous study by Roager et al. (Roageret al., 2019). A probable reason for this is that Roager et al.’s study used meal replacement products to intervene to a certain extent in participants’ daily diet and dietary education, thus showing a more pronounced improvement in inflammation.

In summary, a 12-week Tai Chi and elastic band training program can effectively downregulate inflammatory markers, alleviate the inflammatory response and oxidative stress in patients with T2DM, reduce the damage of inflammation to pancreatic β-cells, and indirectly improve the glycemic control ability of the body.

Limitation

Limited by manpower and material resources, the number of offline group diet education for participants in this study was less. Participants will deviate from the dietary behavior of the study program to a certain extent when they make dietary arrangements on non-ticketing days, which will affect the final intervention results. At the same time, the sample size of this study was not large enough, and future research will expand the sample size.

Acknowledgment

We sincerely thank all participants for their cooperation and trust during the experiment, the Shanghai University of Sports for their support and guidance, and the Shidong Hospital for their cooperation and help.

Conflict of Interest

The authors declare that the research was conducted in the absence of any commercial or financial relationships that could be construed as potential conflicts of interest.

References

  1. American Diabetes Association. (2011). Diagnosis and classification of diabetes mellitus. Diabetes Care, 34, S62–69.
     Google Scholar
  2. American Diabetes Association. (2021). 2. Classification and diagnosis of diabetes: Standards of medical care in diabetes-2021. Diabetes Care, 44, S15–S33.
     Google Scholar
  3. Battelino, T., Danne, T., Bergenstal, R. M., Amiel, S. A., Beck, R., Biester, T., Bosi, E., Buckingham, B. A., Cefalu, W. T., Close, K. L., Cobelli, C., Cobelli, E., DeVries, J. H., Donaghue, K. C., Dovc, K., Doyle, F. J., Garg, S., Grunberger, G., Heller, S., Heinemann, L., et al. (2019). Clinical targets for continuous glucose monitoring data interpretation: Recommendations from the international consensus on time in range. Diabetes Care, 42, 1593–1603.
     Google Scholar
  4. Beck, R. W., Bergenstal, R. M., Riddlesworth, T. D., Kollman, C., Li, Z. M., Brown, A. S., & Close, K. L. (2019). Validation of time in range as an outcome measure for diabetes clinical trials. Diabetes Care, 42, 400–405.
     Google Scholar
  5. Cao, W. Q., Kang, F. Y., & Teng, Y. (2021). Effects of glycemic load food exchange method based on IMB model in obese patients with type 2 diabetes. Chinese Journal of Modern Nursing, 27, 2248–2254.
     Google Scholar
  6. Chen, K. C., Wang, Y. L., Li, D. X., Li, J., Huang, Y., Huang, M. L., & Ma, H. (2024). Impact of diverse aerobic exercise plans on glycemic control, lipid levels, and functional activity in stroke patients with type 2 diabetes mellitus. Frontiers in Endocrinology, 15, 1389538.
     Google Scholar
  7. Chinese Diabetes Society. (2025). Guideline for the prevention and treatment of diabetes mellitus in China (2024 ed.). Chinese Journal of Diabetes Mellitus, 17, 16–139.
     Google Scholar
  8. Chinese Elderly Type 2 Diabetes Prevention and Treatment of Clinical Guidelines Writing Group. (2022). Clinical guidelines for prevention and treatment of type 2 diabetes mellitus in the elderly in China (2022 ed.). Chinese Journal of Internal Medicine, 30, 2–51.
     Google Scholar
  9. Dadrass, A., Mohamadzadeh Salamat, K., Hamidi, K., & Azizbeigi, K. (2019). Anti-inflammatory effects of vitamin D and resistance training in men with type 2 diabetes mellitus and vitamin D deficiency: A randomized, double-blinded, placebo-controlled clinical trial. Journal of Diabetes and Metabolic Disorders, 18, 323–331.
     Google Scholar
  10. Endocrinology and Metabolism Physician Branch of Chinese Medical Doctor Association, National Society of Cardiometabolic Medicine. (2024). Expert consensus on the lipid management of diabetic patients (2024 ed.). Chinese Journal of Diabetes Mellitus, 16, 383–403.
     Google Scholar
  11. Gerbaud, E., Darier, R., Montaudon, M., Beauvieux, M. C., Coffin-Boutreux, C., Coste, P., Douard, H., Ouattara, A., & Catargi, B. (2019). Glycemic variability is a powerful independent predictive factor of midterm major adverse cardiac events in patients with diabetes with acute coronary syndrome. Diabetes Care, 42, 674–681.
     Google Scholar
  12. Hu, K., & Ye, M. (2021). A new term for estimating HbA1c by continuous glucose monitoring: Glucose management indicator (GMI). Advances in Clinical Medicine, 11, 4866–4870.
     Google Scholar
  13. Kaur, B., Ranawana, V., Teh, A. L., & Henry, C. J. K. (2015). The impact of a low glycemic index (GI) breakfast and snack on daily blood glucose profiles and food intake in young Chinese adult males. Journal of Clinical & Translational Endocrinology, 2, 92–98.
     Google Scholar
  14. Kohnert, K. D., Augstein, P., Zander, E., Heinke, P., Peterson, K., Freyse, E. J., Hovorka, R., & Salzsieder, E. (2009). Glycemic variability correlates strongly with postprandial beta-cell dysfunction in a segment of type 2 diabetic patients using oral hypoglycemic agents. Diabetes Care, 32, 1058–1062.
     Google Scholar
  15. Lee, C. L., Chen, C. H., Wu, M. J., & Tsai, S. F. (2020). The variability of glycated hemoglobin is associated with renal function decline in patients with type 2 diabetes. Therapeutic Advances in Chronic Disease, 11, 2040622319898370.
     Google Scholar
  16. Liu, Z., Wu, K. K. L., Jiang, X., Xu, A., & Cheng, K. K. Y. (2020). The role of adipose tissue senescence in obesity- and ageing-related metabolic disorders. Clinical Science (London, England: 1979), 134, 315–330.
     Google Scholar
  17. Liu, D., Zhang, Y., Wu, Q., Han, R., Cheng, D., Wu, L., Guo, J., Yu, X., Ge, W., Ni, J., Li, Y., Ma, T., Tang, Q., Wang, Y., Zhao, Y., Zhao, Y., Sun, B., Li, H., & Jia, W. (2024). Exercise-induced improvement of glycemic fluctuation and its relationship with fat and muscle distribution in type 2 diabetes. Journal of Diabetes, 16, e13549.
     Google Scholar
  18. Lu, J. Y., Ma, X. J., Shen, Y., Wu, Q., Wang, R., Zhang, L., Mo, Y., Lu, W., Zhu, W., Bao, Y., Vigersky, R. A., Jia, W., & Zhou, J. (2020). Time in range is associated with carotid intima-media thickness in type 2 diabetes. Diabetes Technology & Therapeutics, 22, 72–78.
     Google Scholar
  19. Mayeda, L., Katz, R., Ahmad, I., Bansal, N., Batacchi, Z., Hirsch, I. B., Robinson, N., Trence, D. L., Zelnick, L., & de Boer, I. H. (2020). Glucose time in range and peripheral neuropathy in type 2 diabetes mellitus and chronic kidney disease. BMJ open diabetes research & care, 8, e000991.
     Google Scholar
  20. Nojima, H., Yoneda, M., Watanabe, H., Yamane, K., Kitahara, Y., Sekikawa, K., Yamamoto, H., Yokoyama, A., Hattori, N., & Kohno, N., the Hiroshima University Health Promotion Study group. (2017). Association between aerobic capacity and the improvement in glycemic control after the exercise training in type 2 diabetes. Diabetology & Metabolic Syndrome, 9, 63.
     Google Scholar
  21. Pancreatic Islet β-cell Expert Panel of Chinese Diabetes Society, Endocrinology Society of Jiangsu Medical Association. (2022). Expert consensus on the assessment and protection of pancreatic islet β-cell function in patients with type 2 diabetes mellitus. Chinese Journal of Diabetes Mellitus, 14, 533–543.
     Google Scholar
  22. Park, B. S., Khamoui, A. V., Brown, L. E., Kim, D. Y., Han, K. A., Min, K. W., & An, G. H. (2016). Effects of elastic band resistance training on glucose control, body composition, and physical function in women with short- vs. long-duration type-2 diabetes. Journal of Strength and Conditioning Research, 30, 1688–1699.
     Google Scholar
  23. Roager, H. M., Vogt, J. K., Kristensen, M., Hansen, L. B. S., Ibrügger, S., Mærkedahl, R. B., Bahl, M. I., Lind, M. V., Nielsen, R. L., Frøkiær, H., Gøbel, R. J., Landberg, R., Ross, A. B., Brix, S., Holck, J., Holck, A. S., Sparholt, M. H., Christensen, A. F., & Carvalho, V., Carvalho, B., et al. (2019). Whole grain-rich diet reduces body weight and systemic low-grade inflammation without inducing major changes of the gut microbiome: A randomised cross-over trial. Gut, 68, 83–93.
     Google Scholar
  24. Rodrigues, R., de Medeiros, L. A., Cunha, L. M., Garrote-Filho, M. D. S., Neto, M. B., Jorge, P. T., Resende, E. S., & Penha-Silva, N. (2018). Correlations of the glycemic variability with oxidative stress and erythrocytes membrane stability in patients with type 1 diabetes under intensive treatment. Diabetes Research and Clinical Practice, 144, 153–160.
     Google Scholar
  25. Shen, X. Y., Zhang, D. L., Zhang, F. R., Lv, J. L., Zhong, D. L., Zhong, J. G., & Jin, R. J. (2019). Tai Chi therapy for elderly patients with type 2 diabetes mellitus: A randomized controlled trial. International Journal of Traditional Chinese Medicine, 41, 1049–1052.
     Google Scholar
  26. Shi, R., Feng, L., Tang, L. T., Zhang, C. T., Luo, B. B., Bi, Q. Y., & Cao, H. Y. (2022). Research progress on evaluation indicators of blood glucose fluctuation in patients with diabetes. Chinese Journal of General Practice, 20, 2105–21019.
     Google Scholar
  27. Sibony, R. W., Segev, O., Dor, S., & Raz, I. (2024). Overview of oxidative stress and inflammation in diabetes. Journal of Diabetes, 16, e70014.
     Google Scholar
  28. Talchai, C., Xuan, S., Lin, H. V., Sussel, L., & Accili, D. (2012). Pancreatic β cell dedifferentiation as a mechanism of diabetic β cell failure. Cell, 150, 1223–1234.
     Google Scholar
  29. Tang, F. F., & Chen, L. L. (2013). The influencing factors and applications of glycated albumin. International Journal of Endocrinology and Metabolism, 33, 398–401.
     Google Scholar
  30. Valente, T., & Arbex, A. K. (2021). Glycemic variability, oxidative stress, and impact on complications related to type 2 diabetes mellitus. Current Diabetes Reviews, 17, e071620183816.
     Google Scholar
  31. Wang, Y. C., Ni, Q. C., Sun, J. J., Xu, M., Xie, J., Zhang, J., Fang, Y., Ning, G., & Wang, Q. (2020). Paraneoplastic β cell dedifferentiation in nondiabetic patients with pancreatic cancer. The Journal of Clinical Endocrinology and Metabolism, 105, e1489–e1503.
     Google Scholar
  32. Wu, F., Song, E. F., Bao, Y., Xiang, J. W., & Jia, R. H. (2010). Tai chi for the treatment of type 2 diabetes. Chinese Journal of Physical Medicine and Rehibilitation, 32, 205–207.
     Google Scholar
  33. Ying, W., Fu, W. X., Lee, Y. S., & Olefsky, M. J. (2020). The role of macrophages in obesity-associated islet inflammation and β-cell abnormalities. Nature Reviews. Endocrinology., 16, 81–90.
     Google Scholar
  34. You, T., Ogawa, E. F., Thapa, S., Cai, Y., Yeh, G. Y., Wayne, P. M., Shi, L., & Leveille, S. G. (2020). Effects of Tai Chi on beta endorphin and inflammatory markers in older adults with chronic pain: An exploratory study. Aging Clinical and Experimental Research, 32, 1389–1392.
     Google Scholar
  35. Zhang, C. N., Wan, N., & Zhao, D. (2023). Influence of Taijiquan exercise combined with nursing intervention on blood glucose level and quality of life in elderly patients with type 2 diabetes mellitus. International Medicine and Health Guidance News, 29, 2489–2493.
     Google Scholar
  36. Zhao, G., Chen, M. S., Zhuang, L., & Shun, W. P. (2017). Effects of taijiquan on the physique,blood lipid,insulin resistance of patients with type 2 diabetes. Journal of Nanjing Institute of Physical Education: Natural Science, 16, 1–7.
     Google Scholar
  37. Zhou, J., & Jia, W. P. (2010). Assessment methods and research progress of blood glucose variability. Chinese Journal of Endocrinology and Metabolism, 26, 261–264.
     Google Scholar
  38. Zhou, Y., Wu, W. L., Zou, Y. Q., Huang, W. T., Lin, S. S., Ye, J. S., & Lan, Y. (2022). Benefits of different combinations of aerobic and resistance exercise for improving plasma glucose and lipid metabolism and sleep quality among elderly patients with metabolic syndrome: A randomized controlled trial. Endocrine Journal, 69, 819–830.
     Google Scholar